
本案是1986年5月3日,空特為來訪的新加坡貴賓所進行的垂直作戰演練,因直昇機
在空中追撞而造成之重大意外事件,空特官兵以[五三慘案]為名來形容這場意外.
事件發生隔年,空特62旅退伍的我弟同學來家裡作客時,敘述本案發生原因及他在現
場參與清理所目擊之慘狀,當時軍方嚴密封鎖消息,媒體完全沒有此案報導.所以在藝
人出書跟網路上開始有片段訊息前,我已經聽過此案.

這幾張照片是1978年空特演練,與本案無關.出事的兩架UH-1H編號為334及345
軍隊演訓,意外難免,放諸各國皆然,這是維持部隊戰力一定會衍生出的風險,

軍方為新加坡造訪之貴賓所進行的演練稱為[嘉賓演習].

嘉賓演習行程表.

空中機動作戰之UH-1H機隊.
我弟同學表示,在先前的演練直昇機取距較開,看起來不夠壯觀,因此要求隊型要更密集點
,當然這是沒有經過任何確認的說法.

飛行路線

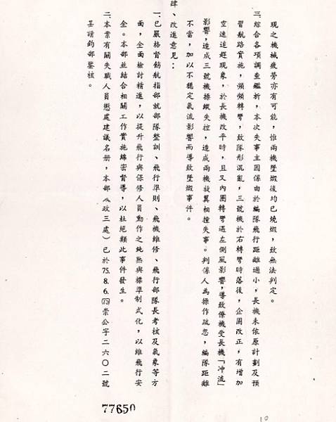
事後懲處人員.我認為這種連座式懲處實在是沒有意義,沒有人願意出意外,這麼
嚴重的處分反使國軍長期培植的人材報銷,提早打包離開軍職.

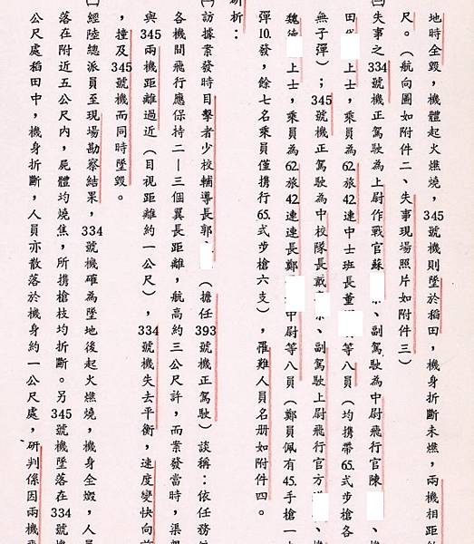
調查事件經過,新加坡貴賓並非外傳後任新加坡總理的吳作棟,而是這幾位國人
非常陌生者.此事件共造成22人罹難.


據歷來收集到訊息,空特都是使用M16A1,並沒有換發T-65.但檔案記載不可能
犯此小錯,有沒有可能刻意使用T65步槍,以彰顯我軍的自製步槍?
直昇機除正副駕駛外,還有機工長.

我弟同學提到他撿起一把槍管已彎成90度的步槍.


3號機追撞長機.

現場照片,已清理過罹難人員大體.

直昇機墜地後爆炸起火.


罹難人員名單
空特的義務役士官兵除少數大專兵外,餘多是甲種體位的陸一特士兵,體格,素質遠優
於陸軍步兵師.

本案安全調查,兩機正副駕駛都是經驗豐富,飛行時數累積多的優秀飛行員.


本案在網路上流傳甚久,有親歷此事件官兵詳述此案,內容與檔案均大致符合.檔案可為
其補充不足之處,願死者安息,國軍演訓意外盡量少發生.
留言列表

